PROGRAMME A 132 - MILLESIME 2015 - OPERATIONS DE SECURITE EN TRAVERSE D'AGGLOMERATION

Resumé

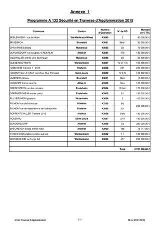
Le présent rapport a pour objet d'approuver le programme A132 - Millésime 2015 Opérations de Sécurité en Traverse d'Agglomération (STA) sur les routes départementales du Haut-Rhin pour un montant de 2 707 009 €, d'affecter les autorisations de programmes correspondantes et d'autoriser le Président à signer les conventions de co-maîtrise d'ouvrage afférentes et leurs éventuels avenants, ainsi que les conventions à part départementale nulle.

Pièces jointes