ACTIONS DE PREVENTION EN EHPAD - PROGRAMMATION 2018

Resumé

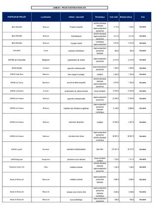
Suite à l'avis de la Conférence des Financeurs de la Prévention de la Perte d'Autonomie du 10 octobre 2018, il vous est proposé de valider la programmation 2018 des actions de prévention en EHPAD. Celle-ci compte 28 projets, portés par 17 établissements, pour un montant total de subvention de 174 413 €. Cette dépense est entièrement couverte par une recette de la Caisse Nationale de Solidarité pour l'Autonomie.

Pièces jointes