SOUTIEN AU SPORT SCOLAIRE
Resumé
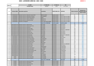
Il vous est proposé dans le présent rapport de voter, au titre du sport scolaire, un soutien à l'Union Générale Sportive de l'Enseignement Libre Alsace (UGSEL Alsace) et aux Services départementaux de l'Union Nationale du Sport Scolaire (UNSS) du Bas-Rhin et du Haut-Rhin, ainsi qu'au Cercle de Voile de Mulhouse (CVM). Le montant total des subventions de fonctionnement à attribuer s'élève à 197 573 € et se répartit comme suit : - 99 658 € à l'UNSS du Bas-Rhin, 69 666 € à l'UNSS du Haut-Rhin et 18 749 € à l'UGSEL Alsace ; - 9 500 € au Cercle de Voile de Mulhouse.
Pièces jointes
-
Rapport_signe -
Rapport -
Deliberation_signe -
Deliberation -
ANNEXE 2 CONVENTION 2025_UGSEL Alsace_CeA -
ANNEXE 3 CONVENTION 2025 UNSS_67_CeA -
ANNEXE 4 CONVENTION 2025_UNSS_68_CeA -
ANNEXE 5 CONVENTION 2025_CVM_CeA -
ANNEXE 6_UGSEL ALSACE_ Aide à la licence scola -
ANNEXE 7_UGSEL ALSACE_ Aide aux déplacements c -
ANNEXE 8_UNSS 67_Aide à la licence scolaire 20 -
ANNEXE 9_UNSS 67_ Aide déplacements compétitio -
ANNEXE 11_UNSS 68_ Aide déplacements compétiti -
ANNEXE 10_UNSS 68_ Aide à la licence scolaire -
ANNEXE 1 SPORT SCOLAIRE -
Deliberation_signe