SOUTIEN AU SPORT SCOLAIRE
Resumé
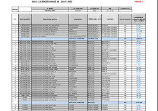
Il vous est proposé dans le présent rapport de voter, au titre du sport scolaire, un soutien à l'Union Générale Sportive de l'Enseignement Libre Alsace (UGSEL Alsace) et aux Services Départementaux de l'Union Nationale du Sport Scolaire du Bas-Rhin (SDUNSS67) et du Haut-Rhin (SDUNSS 68), ainsi qu'au Cercle de Voile de Mulhouse (CVM). Le montant total des subventions de fonctionnement à attribuer s'élève à 191 235 € et se répartit comme suit : - 92 883 € à l'UNSS 67, 70 676 € à l'UNSS 68 et 17 676 € à l'UGSEL Alsace ; - 10 000 € au Cercle de Voile de Mulhouse.
Pièces jointes
-
Rapport_signe -
Rapport -
Deliberation_signe -
Deliberation -
Deliberation -
ANNEXE 1_SPORT_SCOLAIRE -
ANNEXE 2 CONVENTION 2023 UGSEL Alsace -
ANNEXE 3 CONVENTION 2023 UNSS_67 -
ANNEXE 4 CONVENTION 2023 UNSS_68 MC -
ANNEXE 5 CONVENTION 2023 CVM_68 -
ANNEXE 6 2023 UGSEL ALSACE_ Aide à la licence -
ANNEXE 7 2023 UGSEL Alsace_ Aide aux déplacem -
ANNEXE 8 2023 UNSS 67_Aide à la licence scola -
ANNEXE 9 2023 UNSS67_ Aide déplacements comp -
ANNEXE 10 2023 UNSS68_ Aide à la licence sco -
ANNEXE 11 2023 UNSS68_ Aide déplacements com -
Deliberation_signe