Proposition de cession de véhicules et matériels gérés par le Service du Parc des Véhicules et Bacs Rhénans

Resumé

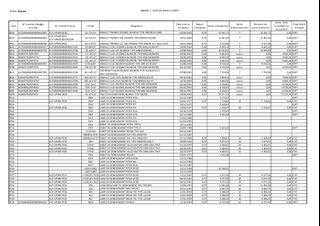
Le présent rapport propose à la Commission Permanente de décider de la cession de véhicules et matériels, propriété du Département du Bas-Rhin

Pièces jointes