Proposition de mise en vente de différents véhicules et matériels du Service du Parc des Véhicules et Bacs Rhénans

Resumé

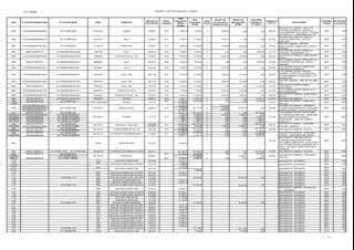
Le présent rapport propose à la Commission Permanente de décider de la mise en vente de divers véhicules et matériels, propriétés du Département du Bas-Rhin.

Pièces jointes