Attribution de subventions au titre du Fonds d'aide en faveur de l'artisanat

Resumé

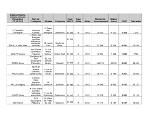
Le présent rapport a pour objet de soumettre à l'approbation de la Commission Permanente du Conseil Général différents dossiers de soutien aux artisans au titre, d'une part, de la création ou la reprise d'entreprises artisanales et, d'autre part, de la participation à des frais de formation et de déplacement.

Pièces jointes