Menu Contenu Recherche
  • Actualités
  • Agenda
  • Presse
  • Publications réglementaires
  • Contact
Collectivité européenne d'Alsace
  • Aides et services
    En savoir plus sur Aides et services
    • Personnes âgées
    • Personnes handicapées
    • Santé, action sociale et insertion
    • Enfance et famille
    • Jeunesse et éducation
    • Politique sportive et ses dispositifs de soutien
    • Bilinguisme
    • Culture, patrimoine et tourisme
    • Mobilité et transport
    • Environnement
    • Europe et transfrontalier
    • Habitat
    • Professionnels, collectivités et associations
  • Ma collectivité

    Depuis le 1er janvier 2021, les Conseils départementaux du Bas-Rhin et du Haut-Rhin forment la Collectivité européenne d’Alsace. Une seule collectivité pour toute l’Alsace au lieu de deux.

    En savoir plus sur La collectivité
    • Vos élus
    • Les compétences
    • L'Assemblée et ses commissions
    • L'organisation
    • Les publications réglementaires
    • Les budgets et rapports d'activité
    • L'open data
    • Index égalité
    • Somme des dix plus hautes rémunérations versées
    • Les projets portés par la collectivité
    • Programme Euro Medium Term Notes (EMTN)
    • Nous rejoindre
  • Collectivité européenne d'Alsace
  • La collectivité
  • L'Assemblée et ses commissions
  • Délibérations
  • Déliberation

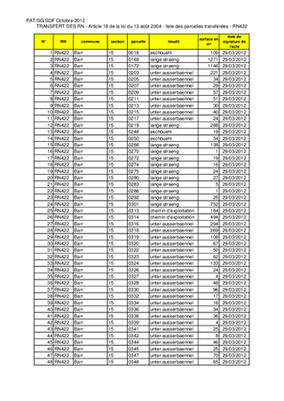
Intégration dans le patrimoine des routes transférées

  • Assemblée : Conseil General
  • Date : 10/12/2012
  • Rapporteur :
  • Collectivité : Conseil départemental du Bas-Rhin
Retour en haut de page

S'inscrire à la newsletter

La CeA et vous :

  • Logo Twitter de la Collectivité européenne d'Alsace Twitter de la Collectivité européenne d'Alsace
  • Logo Facebook de la Collectivité européenne d'Alsace Facebook de la Collectivité européenne d'Alsace
  • Logo Instagram de la Collectivité européenne d'Alsace Instagram de la Collectivité européenne d'Alsace
  • Logo YouTube YouTube
Collectivité européenne d'Alsace

Hôtel d'Alsace
Place du Quartier Blanc
F-67964 Strasbourg cedex
03 69 49 39 29

Hôtel d'Alsace
100 Avenue d'Alsace
BP 20351 68006 Colmar cedex
03 69 49 39 29

  • Nous rejoindre
  • Offres services civiques
  • Nos sites
  • Logo et charte d'utilisation
  • Publications réglementaires
  • Procédure de recueil des alertes éthiques
  • Mentions légales
  • Plan du site
  • Déclaration de conformité RGAA
  • Accès agent CeA
Contact

Tous droits réservés © 2025

Accéder aux paramètres des cookies (fenêtre modale)