Attribution de subventions - Dispositif harmonisé d'aide à la création et à la reprise d'entreprises artisanales

Resumé

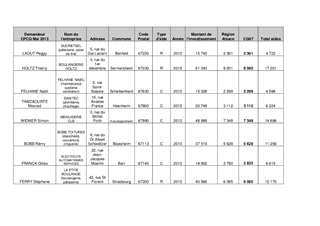
Le présent rapport a pour objet fr soumettre à l'approbation de la Commission Permanente du Conseil Général différents dossiers de soutien à la création et à la reprise d'entreprises artisanales.

Pièces jointes