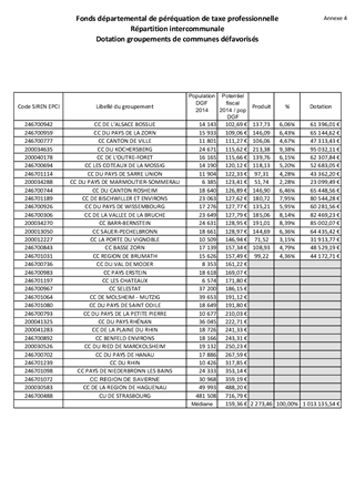
Répartition du Fonds départemental de péréquation de la taxe professionnelle du Bas-Rhin - Exercice 2014 Resumé Le présent rapport concerne la répartition 2014 du Fonds départemental de péréquation de la taxe professionnelle (FDPTP). Pièces jointes Délibération Rapport Annexe 1 Annexe 2 Annexe 3 Annexe 4 Assemblée : Commission Permanente Date : 06/10/2014 Rapporteur : Monsieur Bernard FISCHER Collectivité : Conseil départemental du Bas-Rhin Direction : Pôle ressources Service : Direction des finances et de la commande publique Domaine : Non renseigné Commission : M - Commission des finances et des affaires générales