Délibérations

Délibérations

Affiner votre recherche

727 résultats pour la valeur "Administration et gestion des services" du filtre Domaine

GARANTIE D'EMPRUNT - COMPAGNIE IMMOBILIERE DE PROCIVIS ALSACE - CONSTRUCTION DE 6 LOGEMENTS - RUE DE LA CHAINE A DINGSHEIM

Resumé

Il vous est proposé d’accorder la garantie d'emprunt à hauteur de 100 % à la société COMPAGNIE IMMOBILIERE DE PROCIVIS ALSACE pour un prêt d’un montant total de 800 000 € à souscrire auprès du Crédit Coopératif pour le financement de la construction de 6 logements PSLA situés Rue de la Chaîne à DINGSHEIM.

Pièces jointes

GARANTIE D'EMPRUNT - SEDES -ACQUISITION DE 45 LOGEMENTS SITUÉS RUE CHARLES BIEDERMANN A SAVERNE

Resumé

Il vous est proposé d’accorder la garantie d'emprunt à SEDES à hauteur de 100 % pour un prêt d’un montant total de 701 487 € à souscrire auprès de la Caisse des Dépôts et Consignations pour le financement d'une opération d’acquisition en vente en état futur d'achèvement (VEFA) de 45 logements situés Rue Charles Biedermann à SAVERNE.

Pièces jointes

GARANTIE D'EMPRUNT - VILOGIA -ACQUISITION DE 50 LOGEMENTS SITUÉS RUE DU 19 NOVEMBRE A SAVERNE

Resumé

Il vous est proposé d’accorder la garantie d'emprunt à VILOGIA à hauteur de 100 % pour un prêt d’un montant total de 5 598 715 € à souscrire auprès de la Caisse des Dépôts et Consignations pour le financement d'une opération d’acquisition en vente en état futur d'achèvement (VEFA) de 50 logements situés Rue du 19 Novembre à SAVERNE.

Pièces jointes

TARIFS 2025 DES REGIES DE RECETTES DE LA COLLECTIVITE EUROPEENNE D'ALSACE

Resumé

Le présent rapport a pour objet de proposer à la Collectivité européenne d’instituer de nouveaux dispositifs tarifaires pour les régies de recettes de la Collectivité européenne d’Alsace.

Pièces jointes

RESSOURCES HUMAINES

Resumé

Le présent rapport a pour objet de proposer : - la modification du régime indemnitaire tenant compte des fonctions, des sujétions, de l’expérience et de l’engagement professionnel (RIFSEEP) : la création de la sujétion dimanche et jour férié pour les agents travaillant dans les domaines du tourisme et de la culture, issue des négociations relatives à la révision du règlement du temps de travail applicable au sein du château du Haut-Koenigsbourg, la modification du périmètre d’agents bénéficiaires de la sujétion responsable d’intervention ainsi que la précision de la notion de période de présence ouvrant droit au complément indemnitaire annuel (CIA) - l’adoption du règlement spécifique à l’organisation du temps de travail des agents d’exploitation des routes faisant suite à la suspension en décembre dernier par la Cour administrative d'Appel de l'exécution du jugement du Tribunal administratif de Strasbourg du 9 avril 2024.

Pièces jointes

ORIENTATIONS BUDGÉTAIRES 2025 DE LA COLLECTIVITÉ EUROPÉENNE D'ALSACE

Resumé

Depuis sa création au 1er janvier 2021, la Collectivité européenne d’Alsace a investi près de 8 Mds € pour répondre aux besoins des Alsaciennes et des Alsaciens, de se chauffer, se loger, s’alimenter, se vêtir, se soigner, s’éduquer, se cultiver, se divertir, se déplacer, tout en veillant à inscrire son action en proximité avec les citoyens et les territoires. La Collectivité européenne d’Alsace a ainsi su démontrer sa capacité à répondre aux nombreux défis posés par les crises sanitaire, énergétique, climatique, à un niveau d’inflation historique, et désormais à une crise des finances publiques. Depuis 2021, la collectivité s’est vue imposer +300 M€ de dépenses par l’Etat non compensées (Segur pour tous, loi Taquet, revalorisations successives du RSA, dégel des points d’indices, …). En parallèle, les produits issus des DMTO ont diminué de -120 M€ en 3 ans, et la fraction de TVA est quasiment atone (+0,8% entre 2023 et 2024, alors que la loi de finances pour 2024 prévoyait +4,5%). Dans ce contexte financier déjà fortement contraint, et dégradé du fait de cet effet ciseaux, une probable participation de notre collectivité au redressement des finances publiques est à prévoir. Alors que les besoins sociaux sont croissants, que l’économie nationale et locale connaissent un ralentissement et que nos collectivités doivent répondre à des défis sociétaux pour l’avenir (mur du vieillissement, transitions énergétiques, éducation, santé), la Collectivité européenne d’Alsace entend préserver sa capacité d’action pour protéger les Alsaciens et les territoires. Fidèle à son principe d’une gestion rigoureuse de la dépense publique, la Collectivité européenne d’Alsace a ainsi engagé un plan de maîtrise budgétaire avec une double volonté : - Interroger son fonctionnement propre et les compétences non obligatoires pour être en capacité de maintenir ses capacités à agir et mettre en œuvre ses priorités politiques ; - Sanctuariser les dépenses en direction de la protection de nos publics prioritaires, à savoir nos aînés, l’enfance en danger, la jeunesse et la famille, les personnes en situation de vulnérabilité et répondre à nos enjeux de société que sont le financement des transitions énergétiques et environnementales, le soutien aux EHPAD pour les sauver de la faillite ou encore l’accompagnement vers l’emploi. En ayant su préserver ses capacités financières grâce à une gestion budgétaire prudente et maîtrisée, rappelons que l’encours de dette a diminué depuis sa création (-268 M€), la Collectivité européenne d’Alsace peut choisir d’intensifier son effort budgétaire vers ses priorités politiques : - Protéger les plus vulnérables de nos concitoyens, à savoir les enfants en danger et nos aînés. Depuis sa création, la Collectivité européenne d’Alsace a consacré plus d’1 Md € à la protection de l’enfance. Des projets ambitieux de réhabilitation ou construction de foyers sont à l’œuvre pour répondre à l’urgence de placements des enfants pour une programmation totale de 54,3 M€. Le Foyer de l’Enfance à Strasbourg fait ainsi l’objet d’un projet de réhabilitation (30,7 M€) avec un démarrage des travaux en 2024, afin d’accueillir les enfants placés dans les meilleures conditions de réussite dans la vie. La collectivité s’investit aussi pour sauver les EHPAD de la faillite à travers la mise en place de la tarification différenciée dès 2023 et l’augmentation de +14% du taux directeur depuis 2021, la création d’un fonds d’urgence à destination des EHPAD ayant des problèmes de trésorerie important (3 M€ en 2024) et le versement de 6 mois de la dotation du prix de journée par avance (38 M€ en 2024). Par ailleurs, la Collectivité a fait le choix d’une stratégie habitat qui porte un axe fort d’adaptation du logement des personnes en perte d’autonomie, afin de leur permettre de rester à domicile le plus longtemps possible (5 560 logements publics et privés adaptés en 2029). - Accompagner les transformations de notre société en soutenant la jeunesse et la famille, et en accélérant la transition énergétique. Plus de 1 000 actions éducatives sont accompagnées chaque année, à travers le soutien aux sorties scolaires, la prévention des violences scolaires et du harcèlement, la lutte contre les discriminations, l’appropriation des valeurs républicaines et l’apprentissage de la citoyenneté. Par ailleurs, la collectivité s’inscrit dans l’innovation avec la création de nouveaux outils pédagogiques à destination de notre jeunesse dédiée à l’estime de soi, la lutte contre le harcèlement scolaire, la citoyenneté, les pratiques démocratiques, … Sur le volet de la transition énergétique, la collectivité porte un objectif ambitieux de décarbonation à travers la réduction de besoins énergétiques de nos bâtiments, l’exploitation de nos ressources naturelles (bois et géothermie), le développement hydroélectrique de nos barrages ou encore la production électrique via notre programme photovoltaïque. Une SEM Energies Renouvelables est en préfiguration pour accompagner le développement des énergies renouvelables en mix énergétique sur le réseau alsacien en lien avec les acteurs publics et économiques du territoire, et en complémentarité avec ses différents partenaires. - Investir pour un territoire résilient et moderne à travers la réhabilitation et construction de nos collèges, l’organisation de la mobilité durable, l’innovation dans le domaine de la santé, la protection de l’environnement et l’adaptation de l’habitat. La Collectivité européenne d’Alsace porte un plan d’investissement ambitieux de 630 M€ pour nos collèges publics avec un plan de rénovation et d’adaptation des établissements au changement climatique et de création des nouvelles places sur les territoires en forte croissance (Strasbourg et Mulhouse). Un chantier de reconstruction pour ériger le premier collège passif et 100% autonome d’Alsace sera livré en 2025 à Eckbolsheim pour un moment total de 23,3 M€. La Collectivité européenne d’Alsace investit également dans les infrastructures routières et la mobilité durable avec la réhabilitation et la construction d’itinéraires cyclables (1 783 km d’ici 2030), ou encore le déclassement de tronçons de routes départementales. La déviation de Châtenois dont l’ouverture a été inaugurée fin 2024 ou encore les travaux d’aménagement de 5A3F (70,9 M€) sont emblématiques de l’engagement de la collectivité pour un trafic plus fluide, plus sûr et des territoires plus attractifs. Un projet d’écotaxe a également été adopté à l’unanimité fin 2024, afin de taxer le trafic en transit en constante augmentation depuis plusieurs années sur nos routes, et ainsi lutter contre les nuisances induites (bruit, pollution, détérioration des routes, risques sécuritaires, …). La recette générée par l’écotaxe sera intégralement consacrée aux infrastructures locales, en soutien à l’économie locale et à l’attractivité de l’Alsace. Une politique de l’habitat ambitieuse, s’articulant autour des enjeux de rénovation énergétique (12 000 logements en 6 ans), de développement d’une offre de logement en territoires (7 200 logements locatifs sociaux en 6 ans) fait l’objet d’un portage volontariste tout en se donnant les moyens d’imaginer la maison alsacienne du 21ème siècle. Notre politique santé adoptée en 2024 a vocation à lutter contre les déserts médicaux et à répondre aux défis du vieillissement en bonne santé. Il s’agit en effet d’un enjeu majeur d’équité et de solidarité territoriale à l’heure où les déserts médicaux se développent et où augmentent les inégalités de santé entre les Alsaciens. - Accompagner les acteurs associatifs, institutionnels et locaux qui font vivre l’Alsace et nos territoires, notre vie associative, notre vie culturelle et sportive et notre vie économique. La Collectivité européenne d’Alsace est soucieuse d’agir en proximité avec les territoires, les Alsaciens et les agents de la collectivité. Ainsi le plan d’investissement prévoit la rénovation, le regroupement ou l’acquisition de nouveaux sites pour l’accueil social des publics de la collectivité. Au-delà de ces sites d’accueil fixes, la Collectivité va également au-devant des usagers, par exemple en matière de santé avec l’équipe mobile santé précarité, ou encore à travers les entretiens prénataux précoces réalisés par les sages-femmes avec les femmes enceintes. La collectivité fait aussi le choix de renforcer la cohésion sociale et l’engagement citoyen à travers l’élargissement à toute l’Alsace, en y allouant des moyens supplémentaires, du financement de la politique de la ville et des centres socioculturels. Pour développer des actions au plus près des territoires, en lien avec le bloc local, la collectivité poursuit la contractualisation engagée en 2023 (150 M€ pour 2023-2025). Le soutien au financement de la sécurité civile, incarnée fortement par nos sapeurs-pompiers, soumise à de nombreux défis est également un axe fort de travail de la Collectivité européenne d’Alsace, à travers l’augmentation de notre contribution de fonctionnement (+4,5%) pour protéger nos populations et nos forêts. La Collectivité européenne d’Alsace entend porter l’exigence de réponse à la crise démocratique de nos institutions. Il s’agit d’être à l’écoute des besoins des Alsaciennes et des Alsaciens pour construire des réponses adaptées et de proximité. Ainsi l’année 2025 sera consacrée au renforcement de la démocratie participative (renouvellement du Conseil de développement) et de la célébration du bilinguisme. En effet, après la gastronomie alsacienne en 2023, le sport avec la participation à l’organisation des Jeux Olympiques en 2024, le bilinguisme sera mis à l’honneur en 2025 avec la création de l’Office Public de la langue régionale qui doit développer des actions hors du champ scolaire pour faire vivre la pratique de l’alsacien. Au final, la Collectivité européenne d’Alsace dispose de fondamentaux financiers solides malgré la perspective d’une participation à l’effort de redressement des finances publiques, avec un encours de dette en diminution par rapport à 2021 (520 M€ à fin 2024 contre 788 M€ à fin 2020), et un autofinancement qui permet de couvrir le remboursement du capital de la dette. Ainsi, alors même que nos moyens financiers sont amoindris par la chute des produits issus des DMTO (-120 M€ par rapport il y a 3 ans) et une fraction de TVA dont la dynamique est quasiment atone, la Collectivité européenne d’Alsace est en capacité de protéger les Alsaciens, les territoires et ses agents, et de maintenir un projet d’investissement ambitieux pour la mandature.

Pièces jointes

SITUATION DE L'ÉGALITÉ PROFESSIONNELLE ENTRE LES FEMMES ET LES HOMMES AU SEIN DE LA COLLECTIVITÉ EUROPÉENNE D'ALSACE

Resumé

Le présent rapport a pour objet de présenter à la séance plénière de la Collectivité européenne d’Alsace le rapport de situation 2023 en matière d’égalité professionnelle entre les femmes et les hommes au sein de la Collectivité européenne d’Alsace. Ce rapport est un outil de suivi de la progression vers l’égalité professionnelle auquel concourent fortement les plans pluriannuels d’actions mis œuvre au sein de la Collectivité européenne d’Alsace depuis 2021. La première partie du rapport donnera des éléments d’avancement du Plan égalité professionnel approuvé le 18 décembre 2023 tandis que la seconde partie abordera les enseignements généraux de l’analyse des données relatives à la situation de l’égalité entre les femmes et les hommes au sein de la CeA au 31 décembre 2023.

Pièces jointes

ADOPTION DU PROCÈS-VERBAL DE LA RÉUNION PUBLIQUE DU CONSEIL DE LA COLLECTIVITÉ EUROPÉENNE D'ALSACE DU21 OCTOBRE 2024.

Resumé

Le présent rapport a pour objet l'approbation par l'Assemblée du procès-verbal de la réunion publique du Conseil du lundi 21 octobre 2024 présenté sous forme de transcription in extenso.

Pièces jointes

COMMUNICATION SUR L'ETAT DES TRAVAUX DE LA COMMISSION CONSULTATIVE DES SERVICES PUBLICS DE LA COLLECTIVITÉ EUROPÉENNE D'ALSACE POUR L'ANNÉE 2024

Resumé

La présente communication a pour objet de présenter et de rendre compte des travaux de la Commission Consultative des Services Publics Locaux de la Collectivité européenne d'Alsace en 2024. La Commission a tenu sa réunion annuelle le 18 octobre 2024 pour examiner les rapports d'activité 2023 des services publics externalisés de la Collectivité (délégations de service public et services gérés en régies dotées de l'autonomie financière).

Pièces jointes

TRANSFERTS DE PROPRIETE ET REGULARISATION FONCIERE DE COLLEGES A MULHOUSE ET A RIEDISHEIM.

Resumé

Dans le cadre de la régularisation des propriétés foncières des collèges publics Alsaciens, le présent rapport a pour objet de proposer le transfert de propriété à titre gratuit de l’emprise foncière du collège de Bourtzwiller par la Ville de MULHOUSE et du collège Léon Gambetta par la Ville de RIEDISHEIM, au bénéfice de la Collectivité européenne d’Alsace. Il est également proposé une régularisation foncière concernant le collège Kennedy à MULHOUSE après arpentage.

Pièces jointes

GARANTIE D'EMPRUNT - DOMIAL SA HLM - REHABILITATION THERMIQUE DE 4 LOGEMENTS LOCATIFS SOCIAUX - RUE DES COLONGES A SAINT-AMARIN

Resumé

Il vous est proposé d’accorder la garantie d'emprunt à DOMIAL SA HLM à hauteur de 100 % pour un prêt d’un montant total de 500 818 € à souscrire auprès de la Caisse des Dépôts et Consignations pour le financement d'une opération de réhabilitation thermique de 4 logements locatifs sociaux situés 2 rue des Colonges à SAINT-AMARIN.

Pièces jointes

GARANTIE D'EMPRUNT - DOMIAL SA HLM - REHABILITATION THERMIQUE DE 36 LOGEMENTS LOCATIFS SOCIAUX - FOSSE DES VEAUX A MASEVAUX-NIEDERBRUCK

Resumé

Il vous est proposé d’accorder la garantie d'emprunt à DOMIAL SA HLM à hauteur de 100 % pour un prêt d’un montant total de 1 769 931 € à souscrire auprès de la Caisse des Dépôts et Consignations pour le financement d'une opération de réhabilitation thermique de 36 logements locatifs sociaux situés 1 Fossé des Veaux à MASEVAUX-NIEDERBRUCK.

Pièces jointes

GARANTIE D'EMPRUNT - DOMIAL SA HLM - REHABILITATION THERMIQUE DE 16 LOGEMENTS LOCATIFS SOCIAUX - RUE SAINT MARTIN A SAINT-AMARIN

Resumé

Il vous est proposé d’accorder la garantie d'emprunt à DOMIAL SA HLM à hauteur de 100 % pour un prêt d’un montant total de 1 075 848 € à souscrire auprès de la Caisse des Dépôts et Consignations pour le financement d'une opération de réhabilitation thermique de 16 logements locatifs sociaux situés 2-4 rue Saint Martin à SAINT-AMARIN.

Pièces jointes

GARANTIE D'EMPRUNT - HABITATS DE HAUTE-ALSACE REHABILITATION THERMIQUE DE 18 LOGEMENTS LOCATIFS SOCIAUX RUE DU NORD A ROUFFACH

Resumé

Il vous est proposé d’accorder la garantie d'emprunt à Habitats de Haute-Alsace à hauteur de 100 % pour un prêt d’un montant total de 837 000 € à souscrire auprès de la Caisse des Dépôts et Consignations pour le financement d'une opération de réhabilitation thermique de 18 logements locatifs sociaux situés 5-7-9 rue du Nord à ROUFFACH.

Pièces jointes

GARANTIE D'EMPRUNT - DOMIAL - ACQUISITION DE 6 LOGEMENTS - RUE DE L'HERBE A ROPPENHEIM

Resumé

Il vous est proposé d’accorder la garantie d’emprunt à DOMIAL à hauteur de 100% pour un prêt d’un montant de 1 072 127 € à souscrire auprès de la Caisse des Dépôts et Consignations pour le financement d'une opération d’acquisition en vente en état futur d'achèvement (VEFA) de 6 logements situés Rue de l’Herbe à ROPPENHEIM.

Pièces jointes

GARANTIE D'EMPRUNT - SAINT-LOUIS HABITAT OPH - REHABILITATION THERMIQUE DE 65 LOGEMENTS LOCATIFS SOCIAUX RUE DU 1ER MARS ET RUE CHARLES PEGUY A SAINT-LOUIS

Resumé

Il vous est proposé d’accorder la garantie d'emprunt à SAINT-LOUIS HABITAT OPH à hauteur de 100 % pour un prêt d’un montant total de 969 075 € à souscrire auprès de la Caisse des Dépôts et Consignations pour le financement d'une opération de réhabilitation thermique de 65 logements locatifs sociaux situés 54 rue du 1er Mars et 17-19 rue Charles Peguy à SAINT-LOUIS.

Pièces jointes

RÈGLEMENTS DEROGATOIRES APPLICABLES A CERTAINS AGENTS DU CHATEAU DU HAUT-KOENIGSBOURG

Resumé

Le présent rapport a pour objet de vous proposer : - l'adoption d'un règlement spécifique à l'organisation du temps de travail des agents postés du Château du Haut-Koenigsbourg ; - la révision du règlement encadrant les contreparties exigibles des agents du Château du Haut-Koenigsbourg logés par nécessité absolue de service.

Pièces jointes

GARANTIE D'EMPRUNT VILOGIA SA HLM - ACQUISITION EN VEFA DE 42 LOGEMENTS LOCATIFS SOCIAUX RUE ROBERT SCHUMAN A SIERENTZ

Resumé

Il vous est proposé d’accorder la garantie d'emprunt à VILOGIA SA HLM à hauteur de 100 % pour un prêt d’un montant total de 5 872 760 € à souscrire auprès de la Caisse des Dépôts et Consignations pour le financement d'une opération d’acquisition en VEFA de 42 logements locatifs sociaux situés rue Robert Schuman à SIERENTZ.

Pièces jointes

GARANTIE D'EMPRUNT - DOMIAL - REITERATION DE GARANTIE D'EMPRUNT

Resumé

Il vous est proposé d’accorder la réitération de la garantie d’emprunt à l’Opérateur National de Vente (ONV) à hauteur de 100% pour deux prêts à souscrire auprès de la Caisse des Dépôts et Consignations pour le transfert des emprunts souscrits à l’origine par DOMIAL.

Pièces jointes

GARANTIE D'EMPRUNT HABITATS DE HAUTE-ALSACE REHABILITATION THERMIQUE DE 65 LOGEMENTS LOCATIFS SOCIAUX CITE CLAIREFONTAINE A WINTZENHEIM

Resumé

Il vous est proposé d’accorder la garantie d'emprunt à Habitats de Haute-Alsace à hauteur de 100 % pour un prêt d’un montant total de 1 352 000 € à souscrire auprès de la Caisse des Dépôts et Consignations pour le financement d'une opération de réhabilitation thermique de 65 logements locatifs sociaux situés Cité Clairefontaine à WINTZENHEIM.

Pièces jointes

GARANTIE D'EMPRUNT HABITATS DE HAUTE-ALSACE - REHABILITATION THERMIQUE DE 8 LOGEMENTS LOCATIFS SOCIAUX RÉSIDENCE DU MOULIN A BUHL

Resumé

Il vous est proposé d’accorder la garantie d'emprunt à Habitats de Haute-Alsace à hauteur de 100 % pour un prêt d’un montant total de 330 000 € à souscrire auprès de la Caisse des Dépôts et Consignations pour le financement d'une opération de réhabilitation thermique de 8 logements locatifs sociaux situés 16 Résidence du Moulin à BUHL.

Pièces jointes

GARANTIE D'EMPRUNT HABITATS DE HAUTE-ALSACE REHABILITATION THERMIQUE DE 28 LOGEMENTS LOCATIFS SOCIAUX RESIDENCE DU MOULIN A BUHL

Resumé

Il vous est proposé d’accorder la garantie d'emprunt à Habitats de Haute-Alsace à hauteur de 100 % pour un prêt d’un montant total de 1 395 000 € à souscrire auprès de la Caisse des Dépôts et Consignations pour le financement d'une opération de réhabilitation thermique de 28 logements locatifs sociaux situés 7-15 Résidence du Moulin à BUHL.

Pièces jointes

GARANTIE D'EMPRUNT HABITATS DE HAUTE-ALSACE REHABILITATION THERMIQUE DE 21 LOGEMENTS LOCATIFS SOCIAUX RÉSIDENCE DU MOULIN A BUHL

Resumé

Il vous est proposé d’accorder la garantie d'emprunt à Habitats de Haute-Alsace à hauteur de 100 % pour un prêt d’un montant total de 1 143 500 € à souscrire auprès de la Caisse des Dépôts et Consignations pour le financement d'une opération de réhabilitation thermique de 21 logements locatifs sociaux situés 1 à 6 Résidence du Moulin à BUHL.

Pièces jointes

GARANTIE D'EMPRUNT - LIEBFRAUENBERG - MAINLEVEE D'UNE PRENOTATION D'HYPOTHEQUE

Resumé

Il vous est proposé d’accorder la mainlevée de la prénotation d'hypothèque inscrite au bénéfice de la Collectivité sur le bien propriété de l’association Le Liebfrauenberg.

Pièces jointes

GARANTIE D'EMPRUNT - PROCIVIS HABITAT ALSACE - ACQUISITION DE 4 LOGEMENTS - RUE DES SORBIERS A DUPPIGHEIM

Resumé

Il vous est proposé d’accorder la garantie d'emprunt à hauteur de 100 % à la société PROCIVIS HABITAT ALSACE pour un prêt d’un montant total de 882 200€ à souscrire auprès du Crédit Coopératif pour le financement de la construction de 4 logements PSLA situés Rue des Sorbiers – Les Pléiades à DUPPIGHEIM.

Pièces jointes

FONDS D'INTERVENTION ALSACIEN

Resumé

Le présent rapport a pour objet d'approuver l'attribution des subventions de fonctionnement accordées au titre du Fonds d'Intervention Alsacien, selon la liste détaillée en annexe.

Pièces jointes

DÉSIGNATION DES REPRÉSENTANTS DE LA COLLECTIVITÉ EUROPÉENNE D'ALSACE DANS LES ORGANISMES EXTÉRIEURS

Resumé

Le présent rapport a pour objet de procéder à la désignation des représentants de la Collectivité européenne d’Alsace au sein de divers organismes extérieurs.

Pièces jointes

LES MODALITES DE COMPOSITION DU CONSEIL DE DEVELOPPEMENT D'ALSACE

Resumé

La Collectivité européenne d’Alsace a créé, par délibération du 15 février 2021 et en application de la loi du 2 août 2019 relative aux compétences de la Collectivité, une nouvelle instance citoyenne : le Conseil de développement d’Alsace. Basées sur l'expérience du premier mandat du Conseil de développement d'Alsace (2022-2025), des évolutions de sa composition et de ses modalités de recrutement sont jugées nécessaires pour améliorer son fonctionnement et favoriser une implication citoyenne plus large. Elles seront mises en œuvre lors du prochain mandat (2025-2028), dont l’appel à candidatures sera lancé au premier semestre 2025.

Pièces jointes

GARANTIE D'EMPRUNT - ALSACE HABITAT -REHABILITATION DE 193 LOGEMENTS SITUÉS RUE EUGENIE BRAZIER A ILLKIRCH-GRAFFENSTADEN

Resumé

Il vous est proposé d’accorder la garantie d'emprunt à ALSACE HABITAT à hauteur de 100 % pour un prêt d’un montant total de 3 000 000 € à souscrire auprès de la Caisse des Dépôts et Consignations pour le financement d'une opération de réhabilitation de 193 logements situés Rue Eugénie Brazier à ILLKIRCH-GRAFFENSTADEN.

Pièces jointes

GARANTIE D'EMPRUNT - EHPAD DE L'HOPITAL INTERCOMMUNAL DU VAL D'ARGENT - CONSTRUCTION DE 100 LITS NEUFS DE L'EHPAD

Resumé

Il vous est proposé d’accorder la garantie d'emprunt à hauteur de 100 % à l’EHPAD de l’Hôpital Intercommunal du Val d’Argent (l’HIVA) pour un emprunt d’un montant de 12 100 000 € souscrit auprès de la Caisse des Dépôts et Consignations pour la construction de 100 lits neufs de l’EHPAD.

Pièces jointes

GARANTIE D'EMPRUNT - EHPAD DE L'HOPITAL INTERCOMMUNAL DU VAL D'ARGENT - TRAVAUX DE REHABILITATION LOURDE ET DE RESTRUCTURATION DE L'EHPAD

Resumé

Il vous est proposé d’accorder la garantie d'emprunt à hauteur de 100 % à l’EHPAD de l’Hôpital Intercommunal du Val d’Argent (l’HIVA) pour un emprunt d’un montant de 2 900 000 € souscrit auprès de la Caisse des Dépôts et Consignations pour la réhabilitation lourde et la restructuration de l’EHPAD.

Pièces jointes

GARANTIE D'EMPRUNT VILOGIA SA HLM - ACQUISITION EN VEFA DE 12 LOGEMENTS LOCATIFS SOCIAUX AVENUE DE TONNEINS A THANN

Resumé

Il vous est proposé d’accorder la garantie d'emprunt à VILOGIA SA HLM à hauteur de 100 % pour un prêt d’un montant total de 1 335 404 € à souscrire auprès de la Caisse des Dépôts et Consignations pour le financement d'une opération d’acquisition en VEFA de 12 logements locatifs sociaux situés Avenue de Tonneins à THANN.

Pièces jointes

ADOPTION DU PROCÈS-VERBAL DE LA RÉUNION PUBLIQUE DU CONSEIL DE LA COLLECTIVITÉ EUROPÉENNE D'ALSACE DU 20 JUIN 2024.

Resumé

Le présent rapport a pour objet l'approbation par l'Assemblée du procès-verbal de la réunion publique du Conseil du jeudi 20 juin 2024 présenté sous forme de transcription in extenso.

Pièces jointes

COMPTE RENDU DES DELEGATIONS ACCORDEES AU PRESIDENT DU CONSEIL DE LA COLLECTIVITE EUROPEENNE D'ALSACE EN MATIERE DE MARCHES PUBLICS DU 1ER JANVIER AU 30 JUIN 2024

Resumé

Le présent rapport a pour objet de rendre compte des délégations accordées au Président du Conseil de la Collectivité européenne d’Alsace en matière de marchés publics du 1er janvier au 30 juin 2024.

Pièces jointes

FONDS DÉPARTEMENTAL DE PÉRÉQUATION DES TAXES ADDITIONNELLES AUX DROITS D'ENREGISTREMENT FDPTADE - RÉPARTITION 2024

Resumé

Le présent rapport vise à répartir le fonds départemental de péréquation des taxes additionnelles aux droits d'enregistrement 2024 conformément aux modalités définies par délibération du Conseil de la Collectivité européenne d'Alsace du 18 octobre 2021.

Pièces jointes

FONDS DÉPARTEMENTAL DE PÉRÉQUATION DE TAXE PROFESSIONNELLE FDPTP - RÉPARTITION 2024

Resumé

Le présent rapport procède à la répartition communale et intercommunale du fonds départemental de péréquation de taxe professionnelle 2024 conformément à la délibération du Conseil de la Collectivité européenne d'Alsace du 18 octobre 2021.

Pièces jointes

EXÉCUTION PAR ANTICIPATION DU BUDGET DE LA COLLECTIVITÉ EUROPÉENNE D'ALSACE

Resumé

Le vote du budget primitif 2025 de la Collectivité européenne d’Alsace interviendra au plus tard le 15 avril 2025. Aussi, il vous est proposé d’autoriser son exécution anticipée en application des articles L. 1612-1 et L. 5217-10-9 du Code Général des Collectivités Territoriales (CGCT) qui précisent les règles budgétaires, financières, fiscales et comptables applicables en la matière. Dans ce cadre, afin de ne pas fragiliser financièrement certaines structures, il vous est également proposé d’autoriser, avant l’adoption du budget, le vote de subventions de fonctionnement (hors AE) par l’attribution d’une première subvention limitée, pour chaque bénéficiaire concerné, à 40% maximum du montant total qui lui a été alloué en 2024 par délibérations prises par l’assemblée de la Collectivité européenne d’Alsace et son paiement en une seule fois. De la même manière, il convient de préciser les modalités de versements d’acomptes s’agissant des contributions obligatoires et des participations statutaires. Afin d’éviter une rupture de prise en charge dans le cadre du Fonds de Solidarité Logement, il vous est proposé d’autoriser le vote et le versement, dans leur globalité, des subventions en relevant. Enfin, s’agissant des subventions de fonctionnement relatives au Fonds d’Intervention Alsacien, il est proposé d’autoriser le vote et le versement de ces subventions dès le mois de janvier 2025 dans la limite de l’enveloppe des crédits votés en 2024.

Pièces jointes

DÉPLACEMENT D'UNE DÉLÉGATION ALSACIENNE DANS LE CADRE D'UN MANDAT SPÉCIAL POUR LE DÉMOCRATIE TOUR DU CONSEIL DE DÉVELOPPEMENT D'ALSACE

Resumé

Le présent rapport a pour objet d’approuver le déplacement d’une délégation alsacienne en Allemagne et en Suisse en novembre 2024 dans le cadre du projet Démocratie Tour du Conseil de développement d’Alsace. Il expose le programme et la composition de la délégation alsacienne.

Pièces jointes

GARANTIE D'EMPRUNT - EHPAD DE BOUXWILLER

Resumé

Il vous est proposé d’accorder la garantie d'emprunt à hauteur de 100 % à la l’EHPAD LES TROIS COLLINES à BOUXWILLER pour un prêt d’un montant total de 800 000 € à souscrire auprès de la Caisse des Dépôts et Consignations.

Pièces jointes

DÉCISION MODIFICATIVE N 2 DU BUDGET PRIMITIF 2024 DE LA COLLECTIVITÉ EUROPÉENNE D'ALSACE

Resumé

Le présent rapport a pour objet de proposer à l'Assemblée de la Collectivité européenne d’Alsace d'adopter la décision modificative (DM) n°2 de l’exercice 2024 par l’adoption de nouvelles inscriptions budgétaires pour le budget principal et les budgets annexes. Pour rappel, le budget 2024 place au cœur de ses principes d’intervention la proximité, l’efficacité, la simplicité et l’innovation en matière d’action publique, et s’engage fortement pour nos priorités politiques : - l’accompagnement de nos publics fragiles (526,9 M€) ; - le renforcement des moyens de la protection de l’enfance (304,9 M€) ; - l’impulsion d’une nouvelle dynamique pour les bénéficiaires du RSA (321,4 M€); - le développement des mobilités, et notamment des mobilités durables (160,9 M€) ; - l’accompagnement d’une jeunesse citoyenne et engagée (154,9 M€) ; - le soutien aux projets des territoires (52,3 M€) ; - le développement de notre politique habitat (24,4 M€) ; - l’engagement pour la transition énergétique et environnementale (22,7 M€) ; - le rayonnement de la culture alsacienne (22,6 M€) ; - la mise en œuvre de nos actions santé et innovation (4,9 M€) ; -l’affirmation de nos nouvelles compétences (bilinguisme, Europe et transfrontalier) (8,7 M€) ; - ainsi que le soutien au financement de la sécurité civile (70 M€). La DM n°2 intègre des ajustements budgétaires suite aux évolutions calendaires des gros travaux intervenant sur le périmètre des routes (-6,6 M€), des collèges (+5,1M€) et des bâtiments territoriaux (+1,3 M€), dont le plan photovoltaïque (+0,9 M€). Elle permet aussi de prendre compte des ajustements budgétaires sur le périmètre des solidarités (+6,6 M€), dont l’enfance (+4,2 M€) et l’autonomie (+2,3 M€). Par ailleurs, elle intègre un ajustement à la baisse des produits issus des DMTO (-10 M€) qui tient compte de leur trajectoire fortement baissière entre fin septembre 2023 et septembre 2024 (-42,9 M€). Ainsi l’atterrissage prévisionnel pour 2024 serait de 230 M€ (contre 271,2 M€ en 2023).

Pièces jointes

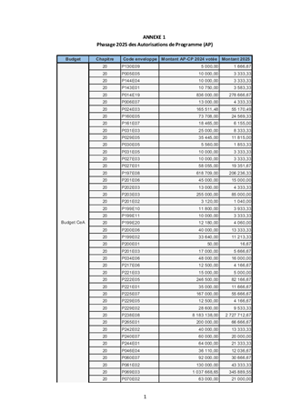
AUTORISATIONS DE PROGRAMME ET D'ENGAGEMENT DE LA DÉCISION MODIFICATIVE N 2 DU BUDGET PRIMITIF 2024

Resumé

Le présent rapport a pour objet de soumettre à l’approbation de l’Assemblée de la Collectivité européenne d’Alsace un état des autorisations de programme (AP) et des autorisations d’engagement (AE) 2024. Concernant les AP et AE votées au cours des budgets précédents, l’encours est ajusté et augmente globalement de +246,4 M€ en investissement et de +14,8 M€ en fonctionnement pour le budget principal.

Pièces jointes

PARTICIPATION D'UNE DELEGATION DE LA COLLECTIVITE EUROPEENNE D'ALSACE AU 93EME CONGRES DE L'ADF A ANGERSMANDATS SPECIAUX

Resumé

Le présent rapport a pour objet de proposer la participation d'une délégation de la Collectivité européenne d'Alsace au 93ème Congrès de l'ADF à Angers des 13 au 15 novembre 2024, dans le cadre d'un mandat spécial.

Pièces jointes

MESURES DIVERSES CONCERNANT LES RESSOURCES HUMAINES

Resumé

Le présent rapport a pour objet de vous proposer : - la mise en place d’une nouvelle organisation de l’astreinte au sein de la Direction de l’Aide Sociale à l’Enfance ; - de fixer la liste des emplois pour lesquels un véhicule de fonction ou un logement de fonction peut être attribué; - d'approuver les listes nominatives des bénéficiaires d'avantages en nature au sein de la Collectivité européenne d'Alsace au titre de l'année 2024.

Pièces jointes

MÉDAILLE DE LA COLLECTIVITÉ EUROPÉENNE D'ALSACE - SECONDE PROMOTION POUR L'ANNÉE 2024

Resumé

Il est soumis à l'approbation de la Commission permanente, la liste des candidatures proposées par les Conseillers d'Alsace et retenues par les Commissions territoriales, dans le cadre de la seconde promotion, au titre de l'année 2024, de la médaille de la Collectivité européenne d'Alsace.

Pièces jointes

MISE EN PLACE DE TARIFS COMPLÉMENTAIRES POUR LA LOCATION DE SALLES DANS LES LOCAUX DE LA COLLECTIVITE EUROPEENNE D'ALSACE

Resumé

Le présent rapport a pour objet de proposer à l'Assemblée de la Collectivité européenne d'Alsace d’actualiser la grille tarifaire pour la mise à disposition de salles. Il s’agit plus précisément de compléter la liste, actuellement en vigueur, avec les tarifs de location des salles situées à HAGUENAU, dans le bâtiment de la Maison du Territoire Nord.

Pièces jointes

GARANTIE D'EMPRUNT - L'ASSOCIATION LES MAISONS DE LA CROIX - RECONSTRUCTION FOYERS DE VIE DE L'INSTITUT SAINT-ANDRE ET APPROBATION DES TERMES DU PROJET DE CONVENTION DE GARANTIE D'EMPRUNT À CONCLURE

Resumé

Il vous est proposé d’accorder la garantie d'emprunt à hauteur de 100 % à l’association Les Maisons de la Croix pour un emprunt d’un montant de 13 633 247 € souscrit auprès de la Caisse des Dépôts et Consignations pour financer la reconstruction de l’institut Saint-André (FAS, FAM et SAJ), situé 43 route d’Aspach à 68700 CERNAY et d’approuver les termes du projet de convention à conclure pour la mise en œuvre de cette décision.

Pièces jointes

GARANTIE D'EMPRUNT - DOMIAL - ACQUISITION - AMELIORATION DE 6 LOGEMENTS - RUE DU GENERAL RAMPONT A BISCHWILLER

Resumé

Il vous est proposé d’accorder la garantie d’emprunt à DOMIAL à hauteur de 100% pour un prêt d’un montant de 1 061 018 € à souscrire auprès de la Caisse des Dépôts et Consignations pour le financement d'une opération d’acquisition - amélioration de 6 logements situés Rue du Général Rampont à BISCHWILLER.

Pièces jointes

GARANTIE D'EMPRUNT - BATIGERE HABITAT - CONSTRUCTION DE 18 LOGEMENTS - RUE DE LA GARE A SOUFFLENHEIM

Resumé

Il vous est proposé d’accorder la garantie d'emprunt à BATIGERE HABITAT à hauteur de 100 % pour un prêt d’un montant total de 1 875 000 € à souscrire auprès de la Caisse des Dépôts et Consignations pour le financement d'une opération de construction de 18 logements situés Rue de la Gare à SOUFFLENHEIM.

Pièces jointes

GARANTIE D'EMPRUNT SA HLM NEOLIA ACQUISITION EN VEFA DE 42 LOGEMENTS LOCATIFS SOCIAUX LES RIVES DU LAC A ENSISHEIM

Resumé

Il vous est proposé d’accorder la garantie d'emprunt à NEOLIA SA HLM à hauteur de 100 % pour un prêt d’un montant total de 5 398 669 € à souscrire auprès de la Caisse des Dépôts et Consignations pour le financement d'une opération d’acquisition en VEFA de 42 logements locatifs sociaux situés Les Rives du Lac à ENSISHEIM.

Pièces jointes

GARANTIE D'EMPRUNT SA HLM NEOLIA ACQUISITION EN VEFA DE 21 LOGEMENTS LOCATIFS SOCIAUX RUE DE HUNINGUE A VILLAGE NEUF

Resumé

Il vous est proposé d’accorder la garantie d'emprunt à NEOLIA SA HLM à hauteur de 100 % pour un prêt d’un montant total de 2 665 025 € à souscrire auprès de la Caisse des Dépôts et Consignations pour le financement d'une opération d’acquisition en VEFA de 21 logements locatifs sociaux situés rue de Huningue à VILLAGE NEUF.

Pièces jointes

GARANTIE D'EMPRUNT - PIERRES ET TERRITOIRES - CONSTRUCTION DE 16 LOGEMENTS SITUÉS RUE DU GENERAL DE GAULLE A BRUMATH

Resumé

Il vous est proposé d’accorder la garantie d'emprunt à hauteur de 100 % à la société PIERRES ET TERRITOIRES pour un prêt d’un montant total de 2 043 000 € à souscrire auprès du Crédit Coopératif pour le financement de la construction de 16 logements PSLA situés Rue du Général De Gaulle – Programme Alliage à BRUMATH.

Pièces jointes

GARANTIE D'EMPRUNT - VILOGIA - ACQUISITION DE 19 LOGEMENTS RUE DU 19 NOVEMBRE A SAVERNE

Resumé

Il vous est proposé d’accorder la garantie d'emprunt à VILOGIA à hauteur de 100 % pour un prêt d’un montant total de 3 134 502 € à souscrire auprès de la Caisse des Dépôts et Consignations pour le financement d'une opération d’acquisition en vente en état futur d'achèvement (VEFA) de 19 logements situés Rue du 19 novembre à SAVERNE.

Pièces jointes

GARANTIE D'EMPRUNT VILOGIA SA HLM ACQUISITION EN VEFA DE 72 LOGEMENTS LOCATIFS SOCIAUX AVENUE DE TONNEINS A THANN

Resumé

Il vous est proposé d’accorder la garantie d'emprunt à VILOGIA SA HLM à hauteur de 100 % pour un prêt d’un montant total de 8 298 185 € à souscrire auprès de la Caisse des Dépôts et Consignations pour le financement d'une opération d’acquisition en VEFA de 72 logements locatifs sociaux situés Avenue de Tonneins à THANN.

Pièces jointes

GARANTIE D'EMPRUNT HABITATS DE HAUTE-ALSACE REHABILITATION THERMIQUE DE 24 LOGEMENTS LOCATIFS SOCIAUX RUE DES SEIGNEURS A FESSENHEIM

Resumé

Il vous est proposé d’accorder la garantie d'emprunt à Habitats de Haute-Alsace à hauteur de 100 % pour un prêt d’un montant total de 1 434 000 € à souscrire auprès de la Caisse des Dépôts et Consignations pour le financement d'une opération de réhabilitation thermique de 24 logements locatifs sociaux situés 23- 29 rue des Seigneurs à FESSENHEIM.

Pièces jointes

GARANTIE D'EMPRUNT - ALSACE HABITAT -ACQUISITION DE 18 LOGEMENTS SITUÉS RUE DE LA MENUISERIE A SESSENHEIM

Resumé

Il vous est proposé d’accorder la garantie d'emprunt à ALSACE HABITAT à hauteur de 100 % pour un prêt d’un montant total de 1 927 000 € à souscrire auprès de la Caisse des Dépôts et Consignations pour le financement d'une opération d’acquisition en vente en état futur d'achèvement (VEFA) de 18 logements situés Rue de la Menuiserie à SESSENHEIM.

Pièces jointes

OPERATIONS FONCIERES SUR LE SITE DU COLLEGE KENNEDY A MULHOUSE

Resumé

Dans le cadre de la régularisation des propriétés foncières des collèges publics Alsaciens, le présent rapport a pour objet de proposer le transfert de propriété à titre gratuit de l’emprise foncière du collège Kennedy, par la Ville de MULHOUSE, au bénéfice de la Collectivité européenne d’Alsace, l’adoption de la convention définitive de mise à disposition et d’utilisation partagée du square Kennedy attenant au collège, ainsi que la constitution d’une servitude d’accès des pompiers au profit d’une parcelle du collège.

Pièces jointes

GARANTIE D'EMPRUNT - ALSACE HABITAT -CONSTRUCTION DE 38 LOGEMENTS SITUÉS RUE DU DENZLACH A KILSTETT

Resumé

Il vous est proposé d’accorder la garantie d'emprunt à ALSACE HABITAT à hauteur de 100 % pour un prêt d’un montant total de 3 807 000 € à souscrire auprès de la Caisse des Dépôts et Consignations pour le financement d'une opération de construction de 38 logements situés Rue du Denzlach à KILSTETT.

Pièces jointes

FONDS D'INTERVENTION ALSACIEN

Resumé

Le présent rapport a pour objet d'approuver l'attribution des subventions de fonctionnement accordées au titre du Fonds d'Intervention Alsacien, selon la liste détaillée en annexe.

Pièces jointes

DÉSIGNATION DES REPRÉSENTANTS DE LA COLLECTIVITÉ EUROPÉENNE D'ALSACE DANS LES ORGANISMES EXTÉRIEURS

Resumé

Le présent rapport a pour objet de procéder à la désignation des représentants de la Collectivité européenne d’Alsace au sein de divers organismes extérieurs.

Pièces jointes

SUBVENTION À L'EUROMÉTROPOLE DE STRASBOURG DANS LE DOMAINE DES DONNÉES GÉOGRAPHIQUES

Resumé

Les données et leur valorisation constituent des outils de connaissance, d’analyse, de pilotage et de gouvernance pour les acteurs publics. Elles sont également des éléments indispensables pour l’aménagement durable des territoires, le développement économique, les transitions énergétiques et écologiques et l’innovation. La Collectivité européenne d’Alsace s’est inscrite, dès sa création en 2021, dans un écosystème partenarial large et solide en matière de données. Pour prolonger ces engagements et ainsi garantir la souveraineté du territoire en matière de données géographiques, mais également pour déployer des services à la hauteur des besoins des usagers et de l'administration, il est proposé de contribuer au maintien du référentiel géographique à grande échelle sur le territoire de l’Eurométropole de Strasbourg à travers une subvention d'investissement de 5 000 €.

Pièces jointes

DEPLACEMENT D'UNE DELEGATION DE LA COLLECTIVITE EUROPEENNE D'ALSACE AU JAPON DU 11 OCTOBRE AU 19 OCTOBRE 2024

Resumé

Le présent rapport a pour objet de proposer le déplacement d’une délégation de la Collectivité européenne d’Alsace au Japon du 11 octobre 2024 au 19 octobre 2024.

Pièces jointes

CONVENTION POUR L'UTILISATION DU RESTAURANT ADMINISTRATIF DE LA MAISON DU TERRITOIRE A SAUSHEIM

Resumé

Le présent rapport a pour objet : - d'approuver les termes de la convention permettant aux agents et élus de la Collectivité européenne d'Alsace de fréquenter le restaurant administratif situé au sein de la Maison du Territoire à Sausheim; - de m'autoriser à signer cette convention.

Pièces jointes

GARANTIE D'EMPRUNT - ALSACE HABITAT -CONSTRUCTION DE 8 LOGEMENTS SITUÉS RUE DU GENERAL DE GAULLE A WASSELONNE

Resumé

Il vous est proposé d’accorder la garantie d'emprunt à ALSACE HABITAT à hauteur de 100 % pour un prêt d’un montant total de 666 000 € à souscrire auprès de la Caisse des Dépôts et Consignations pour le financement d'une opération de construction de 8 logements situés Rue du General de Gaulle à WASSELONNE.

Pièces jointes

GARANTIE D'EMPRUNT - ALSACE HABITAT -ACQUISITION - AMÉLIORATION DE 25 LOGEMENTS SITUÉS AVENUE DE STRASBOURG A BRUMATH

Resumé

Il vous est proposé d’accorder la garantie d'emprunt à ALSACE HABITAT à hauteur de 100 % pour un prêt d’un montant total de 2 181 500 € à souscrire auprès de la Caisse des Dépôts et Consignations pour le financement d'une opération d’acquisition - amélioration de 25 logements situés 141A avenue de Strasbourg à BRUMATH.

Pièces jointes

GARANTIE D'EMPRUNT - ALSACE HABITAT - RÉHABILITATION DE 118 LOGEMENTS - CITÉ LAUTH A STRASBOURG

Resumé

Il vous est proposé d’accorder la garantie d'emprunt à ALSACE HABITAT à hauteur de 100 % pour un prêt d’un montant total de 2 919 000 € à souscrire auprès de la Caisse des Dépôts et Consignations pour le financement d'une opération de réhabilitation de 118 logements situés Cité Lauth à STRASBOURG.

Pièces jointes

GARANTIE D'EMPRUNT - ALSACE HABITAT - RÉHABILITATION DE 84 LOGEMENTS - RUE VICTOR HUGO À SCHILTIGHEIM

Resumé

Il vous est proposé d’accorder la garantie d'emprunt à ALSACE HABITAT à hauteur de 100 % pour un prêt d’un montant total de 285 000 € à souscrire auprès de la Caisse des Dépôts et Consignations pour le financement d'une opération de réhabilitation de 84 logements situés Rue Victor Hugo à SCHILTIGHEIM.

Pièces jointes

GARANTIE D'EMPRUNT - MAINLEVEE D'HYPOTHEQUE - ASSOCIATION DES AMIS DE L'EHPAD SAINT FRANCOIS

Resumé

Il vous est proposé d’accorder la mainlevée de l’hypothèque à l’association des amis de l’EHPAD Saint-François.

Pièces jointes

GARANTIE D'EMPRUNT ALEOS CONSTRUCTION DE 34 LOGEMENTS LOCATIFS SOCIAUX RUE DU RHÔNE A SAINT-LOUIS

Resumé

Il vous est proposé d’accorder la garantie d'emprunt à ALEOS à hauteur de 100 % pour un prêt d’un montant total de 2 432 000 € à souscrire auprès de la Caisse des Dépôts et Consignations pour le financement d'une opération de construction de 34 logements locatifs sociaux situés 73 rue du Rhône à SAINT-LOUIS.

Pièces jointes

GARANTIE D'EMPRUNT - ALSACE HABITAT - ACQUISITION DE 59 LOGEMENTS - RUE DU PARC A BISCHHEIM

Resumé

Il vous est proposé d’accorder la garantie d'emprunt à ALSACE HABITAT à hauteur de 100 % pour un prêt d’un montant total de 4 101 000 € à souscrire auprès de la Caisse des Dépôts et Consignations pour le financement d'une opération d’acquisition en vente en état futur d'achèvement (VEFA) de 59 logements situés 2 rue du Parc à BISCHHEIM.

Pièces jointes

GARANTIE D'EMPRUNT - ALSACE HABITAT - ACQUISITION DE 13 LOGEMENTS - RUE DU PARC A BISCHHEIM

Resumé

Il vous est proposé d’accorder la garantie d'emprunt à ALSACE HABITAT à hauteur de 100 % pour un prêt d’un montant total de 848 000 € à souscrire auprès de la Caisse des Dépôts et Consignations pour le financement d'une opération d’acquisition en vente en état futur d'achèvement (VEFA) de 13 logements situés 2 rue du Parc à BISCHHEIM.

Pièces jointes

GARANTIE D'EMPRUNT - MAINLEVEE SCIA FAMILLES SOLIDAIRES

Resumé

Le présent rapport a pour objet d’accorder la mainlevée d’hypothèque à la SCIA FAMILLES SOLIDAIRES pour permettre la vente d'une parcelle à Schleithal.

Pièces jointes

GARANTIE D'EMPRUNT SCI ATHIS - GROUPE PROCIVIS ALSACE 14 LOGEMENTS EN PRET SOCIAL DE LOCATION ACCESSION PSLA A COLMAR

Resumé

Il vous est proposé d’accorder la garantie d'emprunt à la Société civile immobilière de construction-vente ATHIS – GROUPE PROCIVIS ALSACE à hauteur de 100 % pour un prêt d’un montant total de 1 620 000 € à souscrire auprès du Crédit Coopératif pour le financement de la construction de 14 logements PSLA situés 12 route de Sélestat à COLMAR.

Pièces jointes

GARANTIE D'EMPRUNT - ALSACE HABITAT - CESSIONS DE LOGEMENT

Resumé

Il vous est proposé d’autoriser ALSACE HABITAT à vendre 1 logement situé à BISCHOFFSHEIM.

Pièces jointes

GARANTIE D'EMPRUNT SA HLM NEOLIA ACQUISITION EN VEFA DE 39 LOGEMENTS LOCATIFS SOCIAUX RUE DE LA 1ÈRE ARMEE A FESSENHEIM

Resumé

Il vous est proposé d’accorder la garantie d'emprunt à NEOLIA SA HLM à hauteur de 100 % pour un prêt d’un montant total de 4 168 982 € à souscrire auprès de la Caisse des Dépôts et Consignations pour le financement d'une opération d’acquisition en VEFA de 39 logements locatifs sociaux situés rue de la 1ère Armée à FESSENHEIM.

Pièces jointes

GARANTIE D'EMPRUNT 3F GRAND EST ACQUISITION EN VEFA DE 29 LOGEMENTS LOCATIFS SOCIAUX RUE DE L'ENTLEN A INGERSHEIM

Resumé

Il vous est proposé d’accorder la garantie d'emprunt à 3F GRAND EST à hauteur de 100 % pour un prêt d’un montant total de 3 087 093 € à souscrire auprès de la Caisse des Dépôts et Consignations pour le financement d'une opération d’acquisition de 29 logements locatifs sociaux situés 4 rue de l’Entlen à INGERSHEIM.

Pièces jointes

PLAN DE FORMATION 2024-2025

Resumé

Le présent rapport soumet à l’approbation de la Commission permanente le plan de formation 2024-2025 de la Collectivité européenne d’Alsace, lequel s'inscrit dans une démarche globale de politique de ressources humaines, en adéquation avec le projet politique de la Collectivité. Il détermine les priorités et les objectifs de développement des compétences des agents et définit le programme d'actions de formation sur une période de 2 ans aux fins de contribuer au succès de l’action de la Collectivité tout en répondant aux attentes et besoins des agents en matière de formations.

Pièces jointes

FONDS D'INTERVENTION ALSACIEN

Resumé

Le présent rapport a pour objet d'approuver l'attribution des subventions de fonctionnement accordées au titre du Fonds d'Intervention Alsacien, selon la liste détaillée en annexe.

Pièces jointes

COMPTE FINANCIER UNIQUE 2023 DE LA COLLECTIVITÉ EUROPÉENNE D'ALSACE

Resumé

Le présent rapport a pour objet de proposer à l'Assemblée de la Collectivité européenne d’Alsace d'approuver le compte financier unique (CFU) de la collectivité pour l’exercice 2023, ainsi que l’affectation définitive du résultat 2023 pour le budget principal et les budgets annexes. Depuis sa création au 1er janvier 2021, la Collectivité européenne d’Alsace a investi 5,9 Mds€ pour répondre aux besoins des Alsaciennes et des Alsaciens dans une approche à 360 degrés et leur permettre de se chauffer, se loger, s’alimenter, se vêtir, se soigner, s’éduquer, se cultiver, se divertir, se déplacer, ..., tout en veillant à un développement équilibré de ses 7 territoires et à inscrire son action dans la dynamique de développement territorial au sein de l’espace rhénan. En trois ans d’existence, la Collectivité européenne d’Alsace a ainsi su réincarner le renouveau de l’Alsace institutionnelle, et mettre en œuvre avec succès ses nouvelles compétences, à savoir le développement de la coopération transfrontalière, la maintenance des routes nationales et des autoroutes non concédées transférées, le développement du bilinguisme, ou encore, l’installation du Conseil de développement alsacien. En 2023, la collectivité a consacré 1 602,6 M€ à ses priorités politiques, en hausse de +126,2 M€ par rapport à 2022, pour : - Soutenir les Alsaciens les plus fragiles (1 099,0 M€) à travers le renforcement des moyens de la protection de l’enfance, l’accompagnement des enfants en danger (46 places ont été créées en 2023 après 113 places en 2022), et le soutien des personnes en situation de handicap et des personnes âgées. En 2023, la Collectivité européenne d’Alsace a augmenté les taux directeurs des établissements d’accueil pour personnes âgées de +5%, et ceux de l’enfance et des personnes en situation de handicap de +4%. Par ailleurs, la collectivité a poursuivi son engagement en faveur de la réinsertion socio-professionnelle des personnes éloignées de l’emploi. Le nombre de foyers allocataires du revenu de solidarité active connaît une trajectoire baissière depuis 2021 (45 435 foyers allocataires en janvier 2021 contre 39 442 en décembre 2023, soit -13%) ; - Investir massivement pour notre jeunesse (162,9 M€) avec la construction/réhabilitation de nos collèges publics et le soutien à l'investissement des collèges privés (630 M€ prévus à ce titre sur la période 2021-2028). En 2023, ce sont 11 opérations qui sont entrées en chantier (collège de Rouffach, collège d’Eckbolsheim, collège Dettwiller, collège Mutzig, collège Schiltigheim, collège Wingen-sur-Moder, collège Strasbourg Lezay Marnesia, collège Mulhouse Villon, collège Molsheim Meck, collège Mulhouse Macé et collège Villé) , 1 opération qui est entrée en phase études (collège Ottmarsheim) et 5 collèges qui ont été livrés (collège Kennedy-Mulhouse, collège Reichshoffen, collège Dambach, collège Villé et collège Mandela-Illkirch). Par ailleurs, la Collectivité a déployé des actions de prévention et sensibilisation à la lutte contre le harcèlement ; - Développer les mobilités (154,9 M€) avec l’achèvement d’infrastructures structurantes (inauguration en 2023 du tronçon Ittenheim et Wolfisheim dans le cadre du projet de Transport en site propre Ouest, achèvement de la déviation de Châtenois en 2024, ou encore le lancement du grand chantier 5A3F qui vise à désengorger l’entrée dans Saint-Louis) et le soutien à la création d’itinéraires cyclables ; - Sécuriser les Alsaciens en soutenant les SIS 67 et 68 qui s’illustrent à travers leur engagement en faveur de la lutte anti-incendie, du secours aux personnes, de la protection des populations et de la préservation de la santé des habitants du territoire (67,0 M€) ; - Soutenir les territoires et nos partenaires (46,9 M€) avec notre politique de contractualisation adaptée et ambitieuse (150 M€ pour 2023-2025) et un réseau d’ingénierie performant. A ce titre, en 2023, la collectivité a soutenu 2 850 associations, 35 EPCI et 540 communes, 200 sociétés privés et autres personnes morales de droit privé ; - Faire rayonner la culture alsacienne (21,6 M€) dans le prolongement de la nouvelle politique culturelle de la collectivité, et de la structuration de notre filière castrale suite à la reprise en gestion directe du château du Hohlandsbourg en 2023 ; - Développer la politique habitat (21,1 M€) autour des quatre enjeux que sont le foncier, le développement de logements, la rénovation énergétique et la maison alsacienne et la prise de délégation des aides à la pierre à tout le territoire alsacien (hors territoire de l’Eurométropole de Strasbourg et de Mulhouse Métropole Agglomération) ; - S’engager en faveur de la transition énergétique (19,6M€) à travers la déclinaison de notre stratégie écologique et environnementale pour 2030, adoptée en 2023, pour contribuer à la décarbonation de notre territoire et lutter contre les effets du changement climatique. A ce titre, la Collectivité investit dans un plan photovoltaïque ambitieux visant à doter 40 collèges en 2024 de panneaux photovoltaïques, et 80 bâtiments d’ici 2030, la création d’ilots de fraîcheur urbains dans les collèges (24 projets ont fait l’objet d’étude ou de travaux en 2023), ou encore dans les 10 engagements pris dans le cadre de la charte « Route et Biodiversité » promue fin 2021 (protection de la faune et de la flore, plantation d’arbres le long des routes, …) ; - Assurer le chef de filat de l’action transfrontalière (4,9 M€) avec l’organisation et l’animation des assises rhénanes de l’eau, du projet de territoire Rhin supérieur ou schéma alsacien de coopération transfrontalière ; - Sauvegarder la pratique de l’alsacien (2,3 M€) à travers l’ouverture, dès la rentrée scolaire 2023, des quatre premiers sites immersifs publics avec un apprentissage allemand/alsacien et français et la signature de la convention quadripartite 2023-2024 portant sur la politique régionale plurilingue dans le système éducatif en Alsace ; - Investir dans la santé (2,2 M€) à travers la politique de lutte contre la tuberculose, ou encore la campagne de vaccination contre le papillomavirus dès 2023. Dans le cadre de son « Plan santé pour l’Alsace 2024-2028 », la Collectivité s’engage également à lutter contre les déserts médicaux, soutenir financièrement les structures hospitalières, ainsi que les structures de santé pour favoriser l’installation de professionnels de santé. Par ailleurs, on observe en 2023 une légère hausse des recettes de fonctionnement, alors même que les produits issus des DMTO sont en forte baisse (-56,1 M€). Cela a permis de générer une épargne brute à un niveau qui reste élevé (212,1 M€ contre 340,3 M€ en 2022), et de ne pas recourir à l’emprunt pour la troisième année consécutive, soit une diminution du stock de dette de -82 M€. Grâce à ces efforts de gestion, la capacité d’investissement de la collectivité a été soutenue puisque les dépenses d’investissement (hors dette) ont été réalisées à hauteur de 325,6 M€ au CA 2023, en forte progression de +44,5 M€ entre 2022 et 2023 (281,2 M€ au CA 2022), en particulier sur les travaux consacrés à nos collèges. Cela a été rendu possible notamment par l’engagement remarquable des 6 500 agents de la collectivité qui œuvrent quotidiennement pour améliorer la vie des Alsaciennes et des Alsaciens.

Pièces jointes

DÉCISION MODIFICATIVE N 1 DU BUDGET PRIMITIF 2024 DE LA COLLECTIVITÉ EUROPÉENNE D'ALSACE

Resumé

Le présent rapport a pour objet de proposer à l'Assemblée de la Collectivité européenne d’Alsace d'adopter la décision modificative n°1 (budget supplémentaire) de l’exercice 2024 par l’affectation définitive du résultat 2023, ainsi que par l’adoption de nouvelles inscriptions budgétaires pour le budget principal et les budgets annexes. Pour rappel, le budget 2024 place au cœur de ses principes d’intervention la proximité, l’efficacité, la simplicité et l’innovation en matière d’action publique, et s’engage fortement pour nos priorités politiques : - le renforcement des moyens de la protection de l’enfance : +4,3 M€ en DM n°1, dont +2,2 M€ pour l'hébergement de l'enfance en danger et des actions éducatives en milieu ouvert et les interventions à domicile (300,7 M€) ; - l’accompagnement de nos publics fragiles : +18,3 M€ en DM n°1, dont +8 M€ pour la PCH et +3 M€ pour la mise en œuvre du fonds d'urgence aux EHPAD (544,7 M€) ; - l’impulsion d’une nouvelle dynamique pour les bénéficiaires du RSA : +1,2 M€ en DM n°1 (301,6 M€) ; - l’accompagnement d’une jeunesse citoyenne et engagée : +10,4 M€ en DM n°1, dont +9 M€ pour l'accélération des chantiers de construction/réhabilitation des collèges dans le cadre de notre plan pluriannuel d'investissements (148,6 M€) ; - l’engagement pour la transition énergétique et environnementale : +1,9 M€ en DM n°1 (22,5 M€) ; - le développement de notre politique habitat : +0,4 M€ en DM n°1 (24,4 M€) ; - la mise en œuvre de nos actions santé et innovation : +0,5 M€ en DM n°1 (5,1 M€) ; - le développement des mobilités : +14,5 M€ en DM n°1, dont +11,3 M€ pour l'accélération des opérations routières dans le cadre du plan pluriannuel d'investissements (168,0 M€) ; - l’affirmation de nos nouvelles compétences (bilinguisme, Europe et transfrontalier) : +1,4 M€ en DM n°1 (36,5 M€) ; - le soutien aux projets des territoires (52,7 M€) ; - ainsi que le soutien au financement de la sécurité civile (70 M€). L’excédent cumulé de l’exercice 2023 de 156,4 M€ est affecté pour financer les nouvelles mesures de la DM n°1 de 72,7 M€. Cette DM n°1 permet également à la Collectivité européenne d’Alsace d’asseoir des fondamentaux financiers solides en minorant la prévision d’emprunt d’équilibre (-83,2 M€ soit un total de 74,8 M€ d’emprunt au lieu de 158 M€ au BP 2024), et ce, malgré une diminution de l’inscription du montant prévisionnel des DMTO (-20 M€, soit une prévision de 240 M€ en 2024).

Pièces jointes

AUTORISATIONS DE PROGRAMME ET D'ENGAGEMENT DE LA DÉCISION MODIFICATIVE N 1 DU BUDGET PRIMITIF 2024

Resumé

Le présent rapport a pour objet de soumettre à l’approbation de l’Assemblée de la Collectivité européenne d’Alsace un état des autorisations de programme (AP) et des autorisations d’engagement (AE) 2024. Concernant les AP et AE votées au cours des budgets précédents, l’encours est ajusté et augmente globalement de +43,3 M€ en investissement et de +4,4 M€ en fonctionnement pour le budget principal. Il augmente de +0,7 M€ en investissement pour le budget annexe du Parc Erstein.

Pièces jointes