PROGRAMMATION 2023 DE LA CONFERENCE DES FINANCEURS
Resumé
La Collectivité européenne d’Alsace accompagne les personnes âgées et les proches aidants pour les soutenir face à la perte d’autonomie. L’aide aux aidants est une priorité forte de notre politique en direction des personnes âgées. Le présent rapport a pour objet de soumettre à la validation de la Commission permanente le programme d'action 2023 arrêté par la Conférence des Financeurs de la Prévention de la Perte d'Autonomie en sa réunion plénière du 14 avril 2023 (soutien à 321 projets pour 3 367 538 € de subventions) , d'approuver les conventions correspondantes, et de valider les modalités d'attribution du Forfait Autonomie 2023 (pour 861 126 €). L’objectif des actions soutenues est d’avancer en âge dans les meilleures conditions de santé et de bien-être possibles et de ralentir l’avancée de la dépendance pour les personnes en établissement. Les actions soutenues dans ce cadre sont financées par une enveloppe de crédits alloués par la Caisse Nationale de Solidarité pour l’Autonomie.
Pièces jointes
-
Rapport_signe -
Rapport -
Deliberation_signe -
Deliberation -
ANNEXE 1_DOMICILE FAVORABLES -
ANNEXE 2_DOMICILE NON RETENUS -
ANNEXE 3_EHPAD FAVORABLES -
ANNEXE 4_EHPAD NON RETENUS -
ANNEXE 5_AIDES TECHNIQUES FAVORABLES -
ANNEXE 6_AIDES TECHNIQUES NON RETENUS -
ANNEXE 7_AIDE AUX AIDANTS FAVORABLES -
ANNEXE 8_AIDE AUX AIDANTS FAVORABLES FINANCEM -
ANNEXE 9_AIDE AUX AIDANTS NON RETENUS -
ANNEXE 10-modele-convention-subvention-foncti -
ANNEXE 11 modele-convention-subvention-foncti -
ANNEXE 12 modele-convention-subvention-foncti -
ANNEXE 13 repartition forfait autonomie 2023 -
ANNEXE 14 Avenant CPOM CeA versement forfait -
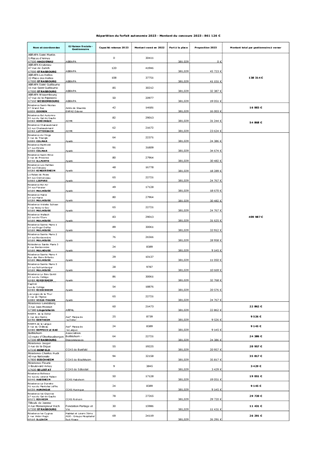
ANNEXE_FINANCIERE -
Deliberation_signe